17096097098522527

カスタマ化治具

pi_new_img

顧客のテストニーズに応じて、関連治具をカスタマイズします:

1、カスタムバックプレート/コネクタ、国内外の個別抵抗容量インダクタ部品、自己研究チップ、ケーブルなどのテスト治具

2、テスト基準を満たし、顧客の測定対象物の真の性能を正確に測定する

3、TRL/ISD/AFRおよび他の非インサート方法は、テストシナリオに応じて選択することができ、完全に治具の影響を除去することができ、除去精度:バックロス-40dB@67GHz、挿入損失±0.1dB@67GHz

国産ディスクリートデバイス試験治具

国産ディスクリートデバイス試験治具

5Gアンテナコネクタ治具試験

5Gアンテナコネクタ治具試験

埋め込み精度>テスト精度

埋め込み方法の比較

埋め込み方法の比較

テスト製品DUTは、高精度の埋め込みテストを保証するために、さまざまな埋め込み方法を使用して実装することができます


TRL校正精度

TRL校正精度

TRL デ埋め込み精度は 50 Ghz+ で、IL は±0.1db 未満、RL は -35db 未満です。 

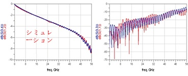
シミュレーション校正ケース

SMAヘッド付きシミュレーションテストフィッティング

SMAヘッド付きシミュレーションテストフィッティング

挿入損失回損フィッティング

挿入損失回損フィッティング

TDRインピーダンスフィッティング

TDRインピーダンスフィッティング